Máy nén lạnh Hanbell RC2-370B | Trục vít công suất rất lớn cho Chiller & Kho lạnh trung tâm
Với các hệ thống chiller công nghiệp tải rất lớn, kho lạnh trung tâm, logistics lạnh và nhà máy sản xuất quy mô lớn, yêu cầu đặt ra không chỉ là “đủ lạnh” mà là ổn định – bền bỉ – tiết kiệm chi phí vận hành trong nhiều năm.
Máy nén lạnh Hanbell RC2-370B thuộc RC2 Series – dòng máy nén trục vít bán kín (Semi-Hermetic Screw Compressor), được thiết kế chuyên biệt cho tải rất lớn, vận hành liên tục 24/7, phù hợp các dự án đòi hỏi độ an toàn cao, biên dự phòng lớn và khả năng mở rộng trong tương lai.
Tại Lộc Thiên Phát, RC2-370B không được bán đơn thuần là thiết bị, mà là một phần của giải pháp lạnh công nghiệp trọn gói, giúp doanh nghiệp đầu tư đúng – vận hành bền – kiểm soát chi phí dài hạn
I. Tổng Quan Máy Nén Lạnh Hanbell RC2-370B
-
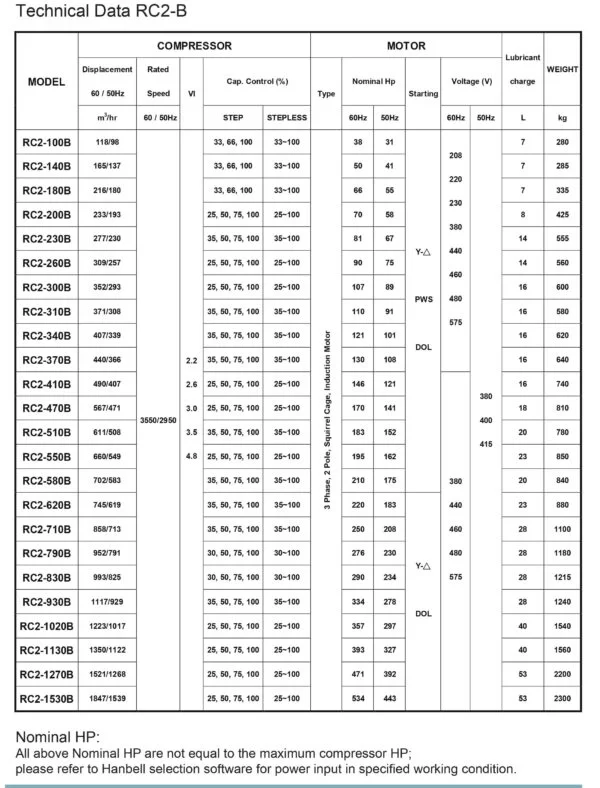
Model: RC2-370B
-
Dòng máy: Hanbell RC2 Series
-
Loại máy nén: Trục vít bán kín (Semi-Hermetic)
-
Phân khúc: Công suất rất lớn – hệ thống lạnh trung tâm
-
Đối tượng sử dụng: Chiller công nghiệp, kho lạnh trung tâm, logistics lạnh, nhà máy quy mô lớn

RC2-370B được phát triển để xử lý tải lạnh cao liên tục, đảm bảo hệ thống luôn hoạt động trong vùng hiệu suất tối ưu, hạn chế tối đa rủi ro quá tải và dừng máy đột ngột.
II. Ưu Điểm Nổi Bật Của Hanbell RC2-370B
1. Xử lý tải rất lớn – biên dự phòng cao
- Dung tích nén lớn giúp RC2-370B đáp ứng tốt các hệ thống tải cao, tải biến động, đặc biệt phù hợp kho logistics và chiller trung tâm.
2. Điều khiển công suất linh hoạt
- Khả năng điều chỉnh tải theo nhiều cấp giúp máy chạy đúng nhu cầu thực tế, giảm điện năng tiêu thụ khi tải thấp.
3. Vận hành ổn định 24/7
- Thiết kế trục vít bán kín kết hợp động cơ công nghiệp giúp hệ thống hoạt động liên tục, ít sự cố, phù hợp môi trường sản xuất không cho phép ngưng máy.
4. Độ rung & độ ồn thấp
- Cụm trục vít và bạc đạn tải lớn giúp giảm rung – giảm ồn, tăng tuổi thọ cho toàn bộ hệ thống.
5. Dễ bảo trì – phụ tùng sẵn
- Thiết kế thuận tiện cho bảo dưỡng, linh kiện phổ biến tại Việt Nam, rút ngắn thời gian xử lý sự cố.
III. Ứng Dụng Thực Tế
- Chiller công nghiệp công suất rất lớn
- Kho lạnh trung tâm, kho logistics lạnh
- Nhà máy chế biến thực phẩm, thủy sản, đồ uống
- Dây chuyền cấp đông, làm mát quy trình
- Khu công nghiệp & trung tâm thương mại quy mô lớn
.png)
Máy nén lạnh được sử dụng cho chiller công nghiệp
IV. Lợi Ích Mang Lại Cho Doanh Nghiệp
|
V. Lợi Thế Khi Triển Khai Qua Lộc Thiên Phát
Khác với nhiều đơn vị chỉ bán máy nén, Lộc Thiên Phát cung cấp GIẢI PHÁP LẠNH CÔNG NGHIỆP TRỌN GÓI:
- Khảo sát thực tế & tính tải đúng chuẩn
- Tư vấn chọn đúng model – đúng công suất
- Cung cấp Hanbell chính hãng – CO/CQ đầy đủ
- Lắp đặt chuẩn kỹ thuật trục vít
- Hỗ trợ kỹ thuật 24/7 – đồng hành dài hạn
Doanh nghiệp không lo sai tải – không lo đội chi phí – không lo dừng hệ thống.
RC2-370B chỉ phát huy tối đa hiệu quả khi được chọn đúng tải và lắp đặt đúng kỹ thuật.

Lộc Thiên Phát lắp đặt máy nén lạnh Hanbell
Hotline kỹ thuật 24/7: 0907 506 189
Khảo sát miễn phí – Tư vấn đúng nhu cầu – Báo giá nhanh cho dự án chiller & kho lạnh trung tâm











